Ela Düzce Keleş1, Murat Birtane2, Galip Ekuklu3, Cumhur Kılınçer4, Okan Çalıyurt5, Nurettin Taştekin2, Enes Efe Is6, Ayşegül Ketenci6, Randy Neblett7

1Department of Physical Medicine and Rehabilitation, Yatagan State Hospital, Muğla, Turkey
2Department of Physical Medicine and Rehabilitation, Trakya University Medical Faculty, Edirne, Turkey
3Department of Public Health, Trakya University Faculty of Medicine, Edirne, Turkey
4Department of Neurosurgery, Trakya University Faculty of Medicine, Edirne, Turkey
5Department of Psychiatry, Trakya University Faculty of Medicine Edirne, Turkey
6Department of Physical Medicine and Rehabilitation, Istanbul University, Istanbul Faculty of Medicine, Istanbul, Turkey
7Pride Research Foundation, Dallas, United States

Keywords: Central sensitization inventory, reliability, translation, validity

Abstract

Objectives: The aim of this study was to translate the Central Sensitization Inventory (CSI) into the Turkish language, to perform a psychometric validation, and to investigate its reliability in patients with chronic spinal pain with an organic origin, patients with fibromyalgia, and pain-free control individuals.

Patients and methods: Between April 2016 and February 2017, the translation of the original English version of the CSI into Turkish was performed using the forward-backward translation method. A total of 100 fibromyalgia patients (6 males, 94 females; mean age: 45.0±8.4 years; range, 25 to 60 years), 100 patients with chronic spinal pain with an identified organic origin (CSPO), (10 males, 90 females; mean age: 43.8±9.7 years; range, 21 to 60 years), and 100 healthy controls (8 males, 92 females; mean age: 35.8±10.1 years; range, 25 to 55 years) were included in the study. Demographic characteristics were collected. Test-retest reliability was determined by re-administering the CSI-Turkish (CSI-Turk) two weeks after the first application.

Results: The internal consistency (Cronbach's alpha) was found to be 0.92 and the intraclass correlation coefficient was 0.93. Patients with fibromyalgia, a very common central sensitivity syndrome (CSS), had the highest mean CSI-Turk scores, and healthy controls had the lowest. Using the recommended cut-off score of 40 resulted in 87% sensitivity and 90% specificity in distinguishing between fibromyalgia and control individuals.

Conclusion: This study suggests that the CSI-Turk can be effectively used as a screening tool to elucidate CS-related symptomology among patients with chronic pain with a high internal consistency, test-retest reliability, sensitivity, and specificity.

Introduction

The term central sensitization (CS) was first introduced by Woolf[1] in 1983, based on studies which showed that spinal cord neuron hyperexcitability could be induced by peripheral tissue injury in rats. It has been proposed as a common physiological phenomenon in many chronic pain disorders, in which neuronal dysregulation and hyperexcitability in the central nervous system result in hypersensitivity to both painful and normally non-painful stimuli.[2] Central sensitization may result in persistence painful sensations which can spread outside the area of the peripheral nerves, and persist even without any peripheral stimuli.[3] A new definition, the nociplastic pain concept, describes pain caused by the altered nociception, despite no clear evidence of actual or probable tissue damage, which can even cause activation of peripheric nociception.[4,5] The term central sensitivity syndrome (CSS) has been proposed to describe disorders with a common etiology of CS, which cannot be explained by any organic cause.[6] Proposed members of the CSS family include fibromyalgia syndrome, chronic fatigue syndrome (CFS), migraine/tension headache, irritable bowel syndrome (IBS), and restless leg syndrome (RLS).[7] Recent trials have also revealed that some components of pain related to rheumatological disorders, lateral epicondylitis, and rotator cuff problems can be attributed to CS as pain generators.[8]

The traditional biomedical approach of identifying the structural cause of pain (such as with imaging), correcting it with medical procedures (such as surgeries), and/or controlling it with analgesics, is usually ineffective for patients with CS-related pain. Although awareness of CS in chronic pain care has been growing, CS-specific assessment tools are currently limited. The Central Sensitization Inventory (CSI) has demonstrated a potential promise in this area. It was originally developed by Mayer et al.[9] in the United States to assess common symptoms which were previously shown to be associated with CS. It was initially designed as a screening tool to help identify, when a patient’s symptom presentation might be CS-related, to quantify the severity of those symptoms, to aid assessment and treatment planning, and to help to minimize unnecessary diagnostic and treatment procedures.[9] The CSI is easy-to-apply and can help physicians to diagnose and treat more quickly. Evidence of discriminant, convergent, and predictive validity has been demonstrated with both patient-reported and objective CS-related variables, including brain gamma aminobutyric acid levels, serum brain-derived neurotrophic factor, and quantitative sensory testing.[10] It has been found to be psychometrically sound in all published studies so far. A value of 40 or above (out of a possible total score of 100) has been recommended as a reasonable cut-off to indicate that a patient’s symptom presentation may be related to CS/CSS.[2] This cut-off value has been found to be useful in a number of previous studies for discriminating between participant groups with presumably more or less CS.[11-16]

In clinical practice, questionnaires have a practical and important purpose to help to guide physicians and other health professionals toward the most appropriate and effective treatment approaches. Although it has been translated into multiple languages (available at https://www.pridedallas.com/questionnaires/), a Turkish version of the CSI is not yet available. Therefore, in the present study, we aimed to translate and validate the CSI into the Turkish language, to investigate its structure and reliability, and to examine its discriminant validity by comparing scores among patients with chronic spinal pain with an organic origin (CSPO), fibromyalgia patients with widespread pain (presumably caused by CS), and pain-free control individuals.

Patients and Methods

This methodological study was conducted at inpatient and outpatient Physical Medicine and Rehabilitation (PMR) clinics of Trakya University Medical Faculty between April 2016 and February 2017. A total of 100 patients diagnosed with primary fibromyalgia (6 males, 94 females; mean age: 45.0±8.4 years; range, 25 to 60 years), 100 patients with CSPO (cervical and/or lumbar) (10 males, 90 females; mean age: 43.8±9.7 years; range, 21 to 60 years), and 100 healthy volunteers (8 males, 92 females; mean age: 35.8±10.1 years; range, 25 to 55 years) were included in the study. All consecutive patients who were admitted to the outpatient clinics were invited to the study, unless they met any of the exclusion criterion, until the target number of 100 was reached for the two groups. As we hypothesized that more women would be in the fibromyalgia group, based on previous studies of fibromyalgia populations, we included female and male patients at an approximate ratio of 9:1 in the CSPO and control groups.[17] Fibromyalgia was diagnosed according to the 2010 American College of Rheumatology (ACR) diagnostic criteria. These patients had no regional mechanic pain that could be ascribed to any organic musculoskeletal disorder. The CSPO group included patients with mainly regional spinal pain (neck, back or low back) for three months or longer. These patients had underlying disc disorders, facet syndrome, spinal stenosis, spondylolisthesis, failed spinal surgery, and/or chronic mechanical muscle pain pathologies diagnosed by a physical medicine and rehabilitation specialist based on medical history, physical examination, and laboratory and/or radiological investigations. Although some of the CSPO patients might have some CS, this group was distinguished from the fibromyalgia group, as pain disorder was initiated from an identified mechanical cause, resulting in tissue damage and/or clearly identified pathology. No change was made in the treatment of any patients during the study period. A healthy control group included volunteers consisting of students, healthcare workers, staff members, and faculty members who reported no pain complaint, medical illness, or pain treatment history. Patients older than 60 years and under 18 years of age, those who had unspecified waist, neck, back pain, non-fibromyalgia musculoskeletal system disease, neurological, rheumatic, metabolic disease, infectious disease, malignancy, those with cognitive impairment, and those who did not sign the voluntary consent form were excluded from the study. A written informed consent was obtained from each participant. The study protocol was approved by the University of Trakya, Faculty of Medicine, Scientific Research Ethics Committee (No: 2016/78-Date: 23.03.2016). The study was conducted in accordance with the principles of the Declaration of Helsinki.

Sociodemographic characteristics of all the participants such as age, sex, marital status, education status, occupation, and place of residence were noted.

Central sensitization inventory

The CSI is comprised of two parts. Part A includes 25 items, which evaluate somatic and emotional health-related symptoms that are common in CS-related disorders. Each item is rated with a 5-point scale from (0) “never” to (4) “always,” resulting in a total possible score of 100. Higher scores indicate a higher degree of symptomatology. Part B assesses 7 CSS diagnoses (tension headaches/migraines, fibromyalgia, IBS, RLS, temporomandibular joint disorder, CFS, and multiple chemical sensitivities) and three additional diagnoses that have been found to be related to CS (depression, anxiety/panic attacks, and neck injury). Respondents were asked: “Have you been diagnosed by a doctor with any of the following disorders?” with the year of diagnosis.

Translation procedure

The translation of the original CSI in the English language into Turkish was done by the forward-backward translation method.[18] In the first step, two independent translators, who were native speakers of Turkish and fluent in English, conducted the translation from English to Turkish, and then mutually agreed on the final version. Then, another translator familiar with the central pain concept reverse-translated the scale from Turkish into English. Finally, all three translators made the last adaptation of the scale by comparing the back translation and original English and Turkish versions. Intelligibility of the final translation was checked by three authors who did not involve in the translation process and 10 public health fellows. All of them declared that all the questions were understandable. The final Turkish version of the CSI (CSI-Turk) can be found as a supplementary file and is available at https://www.pridedallas.com/questionnaires/

Application procedure

The adapted CSI-Turk was administered to all patients and controls by one researcher, face-to-face with each participant, by reading the items and collecting the answers at the first administration. Meanwhile, the presence of CS-related conditions in part B of the scale was recorded in the demographic data section. For the purpose of test-retest evaluation, a second application was done in the same format by the same investigator two weeks after the first administration.

Statistical analysis

Statistical analysis was performed using IBM SPSS version 20.0 software (IBM Corp., Armonk, NY, USA). In the group comparisons, one-way analysis of variance (ANOVA) was used for continuous variables and chi-square test was used for nominal data. When there was a difference in the ANOVA, the source of the difference was investigated using the Student-Newman-Keuls (SNK) post-hoc test. A p value of <0.05 was considered statistically significant.

Reliability

The internal consistency of the scale was examined by Cronbach alpha (α) and coefficient of the total score of the scale was calculated for internal consistency. For reliability analysis, the three subgroups (fibromyalgia group, chronic spinal pain group, and control group) were compared by ANOVA. To measure test-retest reliability, the intraclass correlation coefficient (ICC) was calculated based on total scores in the first and second test administrations.

Validity

Using fibromyalgia syndrome as a reference standard for CS, the CSI-Turk was applied to fibromyalgia patients diagnosed according to the 2010 ACR criteria and to healthy painless controls, who were presumed to have no CS-related pain. The recommended 40-point cut-off score of the CSI-Turk was used to calculate sensitivity and specificity of total CSI-Turk scores between the non-painful healthy individuals and the fibromyalgia patients. The fibromyalgia patients were expected to score 40 or above and healthy cases to score below 40. Those who scored 40 or more in the fibromyalgia group were considered true positive and those who scored below 40 were false negative. Those who scored 40 or more in the healthy group were considered false positive and those who scored below 40 were true negative. The concurrent validity was assessed using Pearson correlation analyses to determine the association between the CSI and the CSI-Turk scores.

Factor structure

The factor structure was assessed using the Kaiser-Meyer-Olkin (KMO) test. At the next stage, the appropriateness of normal distribution of the data was assessed by the Bartlett sphericity test. A principal components analysis was used to determine the factor structure of the CSI-Turk. Factor analysis was applied to the scores from all 300 participants. Items with a factor load greater than 0.35 were taken into consideration. In addition, factors that were greater than an eigenvalue of 1 were identified.

Results

Participants

Table 1 provides sociodemographic characteristics of the patients, including age, sex, marital status, level of education, occupation, and place of residence. There were no significant differences between the fibromyalgia and CSPO groups (p>0.05). However, the healthy control group was significantly younger, single, college graduate, employed in an office occupation, and living in the urban area than the other two groups (p=0.001).

Reliability

Cronbach alpha coefficient of the total score of the scale was high (0.92) proving internal consistency. Table 2 shows the corrected item-total correlations and Cronbach alpha values for the CSI-Turk items. Item-test correlation coefficients were between r=0.34 and r=0.73 (except for question 24, r=0.14), demonstrating that the CSI-Turk scale had a fairly homogeneous structure. Correlation analysis of total scores from the scale for test-retest reliability revealed a high correlation between the two test administrations (ICC=0.93; p<0.001), as shown in Table 3.

The mean score, standard deviation, median with minimum and maximum values of the CSI scores and the ICC of each item are shown in Table 4.

Validity

Table 3 shows the mean CSI-Turk scores for the three groups. The mean scores were significantly different among the groups. The fibromyalgia group scored the highest (55.00), the healthy control group scored lowest (24.51), and the CSP group scored in between (42.57).

Categorizing of participants with the 40-point cut-off score produced a true positivity of 87% and false positivity of 10% in the fibromyalgia group and a false negativity of 13% and the true negativity of 90% in the control group (Table 5). Thus, the sensitivity of CSI was determined to be 87% and the specificity to be 90%.

Factor structure

Factor analysis was performed to analyze the variables under factors by collecting the highly correlated variables. It shows the correlational relationship between a number of variables to measure a particular construct. According to the established guidelines, if the KMO test value is greater than 0.5, the sample size is sufficient for factor analysis. Finally, the number of factors was decided using an eigenvalue of greater than 1.

In our study the KMO was found to be quite high at 0.89 (acceptable limit 0.70). The KMO test showed that the data and distribution were appropriate for factor analysis. At the next stage, the appropriateness of normal distribution of the data was assessed and the Bartlett sphericity test was found to be significant (χ2=27.30, p<0.001).

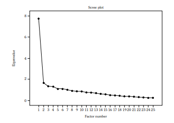
Findings related to the factor structure of CSI are provided in Figure 1. As the most prominent change occurred after the first factor in the figure, the best solution for the scale was determined to be a single factor. This first factor described 31% of the variance, and the first 7, which was greater than an eigenvalue of the scale of 7 described 61.1% of the variance.

Discussion

Central sensitization is a consequence of neuroplasticity involving functional alterations in chemical, electrophysiological, and pharmacological systems. These changes may lead to exaggerated perception of painful stimuli (hyperalgesia), painful perception of painless stimuli (allodynia), and the spread of pain or hyperalgesia beyond the initial area of injury.[19] Central sensitization has been proposed as the common etiology for CSSs. The CSI was developed to assess and measure symptoms related to CS and CSSs. In the present study, the CSI was translated into Turkish and psychometrically validated in three populations, including those with fibromyalgia, CSPO with an identified organic origin, and a pain-free control group.

The rate of fibromyalgia is known to be higher in women compared to men. This was found to be true in our fibromyalgia group, as 94% were women. To make them comparable, we set the female/male ratio in the other two groups to be similar to the fibromyalgia group. Although other demographic characteristics were similar between fibromyalgia and CSPO groups, there were significant differences in terms of age, marital status, educational status, occupation, and place of residence, compared to healthy controls. Even so, the mean age in all groups was within the middle age limits and the other parameters are not known to be risk factors for CS.

Using the previously established cut-off score of 40 to distinguish between the fibromyalgia group and the healthy control group resulted in a sensitivity of 87% and specificity of 90%, confirming the results from two previous studies. Using a receiver operating characteristic analysis to compare a CSS patient group with a non- patient comparison sample, Neblett et al.[20] found a sensitivity of 81% and specificity of 79%. In the French study, using this 40-point cut-off, as in our study, Pitance et al.[16] found a sensitivity of 95% and specificity of 90% in distinguishing between groups of fibromyalgia patients and healthy control individuals. Therefore, with these high values, CSI seems to have a potential to be used as a screening test.

According to the results of the corrected item- total correlation to assess the internal consistency of the scale, each of the items was observed to have acceptable r value, except for item 24, which was found to be the lowest and remained below the average. Therefore, we consider that the phrase "having traumatized in my childhood" is not understood correctly or fully in the Turkish society due to the different understanding of the word "trauma" among different cultures. Thus, in the future studies using this questionnaire, this problem should be explained in detail to the patients.

In the present study, the Cronbach alpha (0.92) and test-retest reliability (ICC of 0.93) values were both very good, and comparable to other CSI studies. Other studies using multiple language versions of the CSI reported a Cronbach alpha ranging from 0.88 to 0.91 and a test-retest ranging from 0.85 to 0.97.[10]

The main strength of this study is the relatively large number of participants and the fact that test-retest was applied to all cases. Mayer et al.[9] performed test-retest in 149 healthy volunteers. Kregel et al.[21] performed test-retest in 36 chronic pain patients. In the Spanish translation study, test-retest was applied to 46 participants[22] and in the French translation study, it was applied to only 80 participants.[16] The test-retesting practice of two weeks between administrations reduced the chances that participants would recall their answers, which was another strength of our study. With a similar thought, Kregel et al.[21] also determined the duration of test-retest with a three-weeks interval.

One of the limitations of our study is that some of the patients were receiving treatment. This is because our study was carried out in a tertiary health care center. Nonetheless, we attempted to reduce this limitation by not changing the current treatments of the patients, while we were applying the scale.

In conclusion, the CSI-Turk exhibited equivalent results to the original English version and other translated versions of the CSI, with a high internal consistency, good discrimination between patients and healthy individuals, and excellent test-retest reliability. Owing to its high sensitivity and specificity, the Turkish version of the CSI is a valid and reliable screening tool for the probable presence of a CSS diagnosis in patients with chronic pain complaints in the Turkish population.

Conflict of Interest

The authors declared no conflicts of interest with respect to the authorship and/or publication of this article.

Financial Disclosure

The authors received no financial support for the research and/or authorship of this article.

References

  1. Woolf CJ. Evidence for a central component of post- injury pain hypersensitivity. Nature 1983;306:686-8. DOI: 10.1038/306686a0
  2. Neblett R, Cohen H, Choi Y, Hartzell MM, Williams M, Mayer TG, et al. The Central Sensitization Inventory (CSI): Establishing clinically significant values for identifying central sensitivity syndromes in an outpatient chronic pain sample. J Pain 2013;14:438-45. DOI: 10.1016/j.jpain.2012.11.012
  3. Woolf CJ. Central sensitization: Implications for the diagnosis and treatment of pain. Pain 2011;152(3 Suppl):S2-S15. DOI: 10.1016/j.pain.2010.09.030
  4. Trouvin AP, Perrot S. New concepts of pain. Best Pract Res Clin Rheumatol 2019;33:101415. DOI: 10.1016/j.berh.2019.04.007
  5. Perrot S, Cohen M, Barke A, Korwisi B, Rief W, Treede RD; IASP Taskforce for the Classification of Chronic Pain. The IASP classification of chronic pain for ICD-11: Chronic secondary musculoskeletal pain. Pain 2019;160:77-82. DOI: 10.1097/j.pain.0000000000001389
  6. Yunus M. Central sensitivity syndromes: a unified concept for fibromyalgia and other similar maladies. J Indian Rheum Assoc 2000;8:27-33.
  7. Yunus MB. Editorial review: An update on central sensitivity syndromes and the issues of nosology and psychobiology. Curr Rheumatol Rev 2015;11:70-85. DOI: 10.2174/157339711102150702112236
  8. Guler MA, Celik OF, Ayhan FF. The important role of central sensitization in chronic musculoskeletal pain seen in different rheumatic diseases. Clin Rheumatol 2020;39:269-74. DOI: 10.1007/s10067-019-04749-1
  9. Mayer TG, Neblett R, Cohen H, Howard KJ, Choi YH, Williams MJ, et al. The development and psychometric validation of the central sensitization inventory. Pain Pract 2012;12:276-85. DOI: 10.1111/j.1533-2500.2011.00493.x
  10. Neblett, R. The central sensitization inventory: A user’s manual. J Appl Behav Res 2018;23:e12123. DOI: 10.1111/jabr.12123
  11. Keizer A, Vandyken B, Vandyken C, Yardley D, Macedo L, Kuspinar A, et al. Predictors of pelvic floor muscle dysfunction among women with lumbopelvic pain. Phys Ther 2019;99:1703-11. DOI: 10.1093/ptj/pzz124
  12. Roldán-Jiménez C, Pérez-Cruzado D, Neblett R, Gatchel R, Cuesta-Vargas A. Central sensitization in chronic musculoskeletal pain disorders in different populations: A cross-sectional study. Pain Med 2020;21:2958-63. DOI: 10.1093/pm/pnaa069
  13. Mansiz-Kaplan B, Ayhan FF, Cagli M, Atik F, Ece ‹. A preliminary study of the child abuse and central sensitization in adolescent patients with chronic non-organic chest pain and an overlooked condition: Juvenile fibromyalgia syndrome. Pediatr Rheumatol Online J 2020;18:28. DOI: 10.1186/s12969-020-00421-0
  14. Kim SH, Yoon KB, Yoon DM, Yoo JH, Ahn KR. Influence of centrally mediated symptoms on postoperative pain in osteoarthritis patients undergoing total knee arthroplasty: A prospective observational evaluation. Pain Pract 2015;15:E46-53. DOI: 10.1111/papr.12311
  15. Nijs J, Torres-Cueco R, van Wilgen CP, Girbes EL, Struyf F, Roussel N, et al. Applying modern pain neuroscience in clinical practice: Criteria for the classification of central sensitization pain. Pain Physician 2014;17:447-57. DOI: 10.36076/ppj.2014/17/447
  16. Pitance L, Piraux E, Lannoy B, Meuus M, Berquin A, Eeckhout C, et al. Cross cultural adaptation, reliability and validity of the French version of the central sensitization inventory. Manual Therapy 2016;25:83-4. DOI: 10.1016/j.math.2016.05.139
  17. Häuser W, Ablin J, Perrot S, Fitzcharles MA. Management of fibromyalgia: Practical guides from recent evidence-based guidelines. Pol Arch Intern Med 2017;127:47-56. DOI: 10.20452/pamw.3877
  18. Beaton DE, Bombardier C, Guillemin F, Ferraz MB. Guidelines for the process of cross-cultural adaptation of self-report measures. Spine (Phila Pa 1976) 2000;25:3186-91. DOI: 10.1097/00007632-200012150-00014
  19. Graven-Nielsen T, Arendt-Nielsen L. Peripheral and central sensitization in musculoskeletal pain disorders: An experimental approach. Curr Rheumatol Rep 2002;4:313-21. DOI: 10.1007/s11926-002-0040-y
  20. Kregel J, Vuijk PJ, Descheemaeker F, Keizer D, van der Noord R, Nijs J, et al. The Dutch Central Sensitization Inventory (CSI): Factor analysis, discriminative power, and test-retest reliability. Clin J Pain 2016;32:624-30. DOI: 10.1097/AJP.0000000000000306
  21. Cuesta-Vargas AI, Roldan-Jimenez C, Neblett R, Gatchel RJ. Cross-cultural adaptation and validity of the Spanish central sensitization inventory. Springerplus 2016;5:1837. DOI: 10.1186/s40064-016-3515-4
  22. Neblett R, Hartzell MM, Cohen H, Mayer TG, Williams M, Choi Y, et al. Ability of the central sensitization inventory to identify central sensitivity syndromes in an outpatient chronic pain sample. Clin J Pain 2015;31:323-32. DOI: 10.1097/AJP.0000000000000113