Yasumori Sobue1, Mochihito Suzuki2, Yoshifumi Ohashi3, Ryo Sato2, Yusuke Ohno2, Junya Hasegawa2, Takaya Sugiura2, Kenya Terabe2, Shuji Asai2, Shiro Imagama2

1Department of Orthopedic Surgery, Japanese Red Cross Aichi Medical Center Nagoya Daiichi Hospital, Nagoya, Achi, Japan
2Department of Orthopedic Surgery and Rheumatology, Nagoya University Graduate School of Medicine, Nagoya, Achi, Japan
3Department of Orthopedic Surgery, Aichi Medical University, Graduate School of Medicine, Nagakute, Aichi, Japan

Keywords: Frailty; laughter; oral function; rheumatoid arthritis, the Kihon checklist.

Abstract

Objectives: This study aims to investigate the association between frailty and oral function in rheumatoid arthritis (RA) patients and to identify practical markers for early frailty detection and potential intervention strategies.

Patients and methods: A multi-center observational cohort study (T-FLAG) included a total of 661 RA patients (186 males, 475 females; mean age: 68.5±13.5 years; range, 18 to 100 years) between June 2023 and August 2023. Frailty was assessed using the Kihon Checklist (KCL) (frailty: score ≥8). Oral function scores were based on Question 13 (“difficulty eating hard foods”), Question 14 (“choking”), and Question 15 (“dry mouth”) of the KCL. Receiver operating characteristic (ROC) curves were generated to assess the association between frailty and oral function scores. Multivariate logistic regression was used to analyze factors associated with oral function.

Results: Among the 661 participants, 39.5% were frail. Frailty rates tended to increase with increasing oral function scores. The optimal cut-off score for oral function corresponding to frailty was 2 points, with a specificity of 89.2% and a sensitivity of 54.8%. Multivariate analysis identified age and Health Assessment Questionnaire-Disability Index (HAQ-DI) as significant factors associated with oral function decline (i.e., a total score of ≥2 for Questions 13-15 of the KCL).

Conclusion: Frailty is strongly associated with oral function decline in RA patients. This finding highlights the importance of monitoring the oral function of RA patients, since it not only reflects physical function, but also serves as a potential marker of frailty. Targeted interventions to improve oral function may play a vital role in reducing frailty risk and enhancing the overall well-being of RA patients.

Introduction

Frailty is a condition characterized by the transitional phase between good health and disability, involving age-related declines in physical, cognitive, social, and oral abilities.[1] Frailty can lead to serious health issues, even with minor stressors, resulting in long-term dependency on medical care and the need for caregiving.[2] In an increasingly aging society, this increases healthcare costs and places a burden on the caregiving system.[3] Therefore, early detection and management of frailty are critical and would contribute to reducing medical expenses, improving the quality of life for older adults, and alleviating the burden on caregiving resources. During the novel coronavirus disease 2019 (COVID-19) pandemic, the effect of frailty was significant, with frail patients having a significantly higher risk of in-hospital mortality, underscoring the importance of frailty assessment in clinical decision-making.[4] The restrictions on going out during the pandemic led to reduced physical activity, which further accelerated the decline in physical function among frail individuals and exacerbated their vulnerability to adverse health outcomes.[5] Furthermore, limitations on social interactions and opportunities to use one’s voice likely contributed to declines in cognitive, social, and oral abilities, deepening the overall impact on the well-being of frail individuals.

Lifestyle changes have persisted even after the COVID-19 pandemic, affecting daily habits as well as social connections. These changes are particularly concerning for individuals with chronic conditions such as rheumatoid arthritis (RA), where disease-specific factors may further exacerbate vulnerabilities to frailty and associated health issues. These patients are more susceptible to frailty due to the chronic inflammation and joint damage associated with the disease.[6] The percentage of RA patients who experience frailty is believed to be higher compared to the general population.[6,7] With significant advancements in RA treatment through the use of methotrexate (MTX), biologics, and Janus kinase inhibitors, the survival of RA patients has improved.[8] However, as life expectancy increases, there is a greater need to be vigilant about frailty, as the extended lifespan can lead to a higher risk of functional decline in these patients.

Rheumatoid arthritis patients are particularly susceptible to dry mouth due to both systemic effects and disease-related factors.[9] Beyond systemic manifestations, RA is associated with oral function decline, including hyposalivation and periodontal disease which are recognized as non-articular manifestations of the condition.[10] Several studies have indicated that RA patients have a significantly higher risk of severe periodontal disease compared to the general population,[10] highlighting the potential for oral function decline to adversely affect overall health and quality of life. In light of these concerns, in the present study, we aimed to explore the association between frailty and oral function in RA patients.

Patients and Methods

This multi-center, observational cohort study (T-FLAG) was conducted at Japanese Red Cross Aichi Medical Center Nagoya Daiichi Hospital, Japan Community Health Care Organization Kani Tono Hospital, and Yokkaichi Municipal Hospital, Department of Orthopedic Surgery between June 2023 and August 2023. A total of 696 RA patients consecutively visited three affiliated hospitals. Clinical data, including Kihon Checklist (KCL) scores[11] and Clinical Disease Activity Index (CDAI),[12] were available for 661 of these patients. All patients met the 2010 classification criteria established by the American College of Rheumatology (ACR) and the European League Against Rheumatism (EULAR).[13] We did not establish formal exclusion criteria for this study; however, patients with missing data for either KCL score or CDAI were excluded to ensure reliability of the dataset. Finally, a total of 661 patients with complete data (186 males, 475 females; mean age: 68.5±13.5 years; range, 18 to 100 years) were included in the study. A written informed consent was obtained from each patient. The study was approved by the Ethics Committees of Nagoya University School of Medicine (2017-0271), the Japanese Red Cross Aichi Medical Center Nagoya Daiichi Hospital (2020-451), the Japan Community Health Care Organization Kani Tono Hospital (20110901), and Yokkaichi Municipal Hospital (2017-29), (date: 01.06.2020). The study was conducted in accordance with the principles of the Declaration of Helsinki.

Documented characteristics included age, duration of disease, sex, body mass index (BMI), marital status, smoking status, alcohol intake, Steinbrocker classification stage (evaluated at the most progressed joint),[14] drug therapy (glucocorticoids [GCs], MTX, other conventional synthetic disease-modifying antirheumatic drugs [csDMARDs] including salazosulfapyridine, tacrolimus, bucillamine, and iguratimod, all of which are approved and commonly used for the treatment of RA in Japan,[15] and biological DMARDs [bDMARDs]/targeted synthetic DMARDs [tsDMARDs]), diabetes mellitus (DM), osteoporosis, Charlson Comorbidity Index (CCI),[16] rheumatoid factor (RF), C-reactive protein (CRP), matrix metalloproteinase-3 (MMP-3), swollen and tender 28-joint count, subject’s global assessment of disease activity Visual Analog Scale (VAS), physician’s global assessment of disease activity VAS, CDAI, Health Assessment Questionnaire-Disability Index (HAQ-DI),[17] grip strength on the dominant side (i.e., side with the higher value), laughter frequency (almost every day/1 to 5 days per week/1 to 3 days per month/never or almost never),[18] and the KCL. The CDAI was classified as follows: remission (CDAI ≤2.8); low disease activity (LDA; 2.8< CDAI ≤10); moderate disease activity (MDA; 10< CDAI ≤22); and high disease activity (HDA; CDAI >22).[12] The daily frequency of laughter was measured using a standard single-item question: “How often do you laugh out loud?”[18] “Almost every day” and “1-5 days per week” were defined as “frequent laughter,” and “1-3 days per month” and “never or almost never” were defined as “infrequent laughter”.[19]

Definition of frailty and oral function decline

Frailty categories were determined using KCL scores, with ≥8 points indicating frailty, 4-7 points indicating pre-frailty, and 0-3 points indicating robustness. The KCL is a widely utilized tool developed by Ministry of Health, Labour and Welfare of Japan to identify older adults at risk of needing care or support.[11] The KCL consists of a total of 25 Yes/No questions, covering seven distinct domains. The domain “Activities of daily living” includes Question Nos. 1-5; “Physical strength” includes Question Nos. 6-10; “Nutrition” includes Question Nos. 11 and 12; “Oral function” includes Question Nos. 13-15; “Isolation” includes Question Nos. 16 and 17; “Cognitive function” includes Question Nos. 18-20; and “Depressive mood” includes Question Nos. 21-25. Studies have shown that the KCL is significantly correlated with Fried’s Cardiovascular Health Study criteria, confirming its validity as a screening instrument to assess frailty.[1,11]

Oral function was assessed based on Questions 13 (“difficulty eating hard foods”), 14 (“choking on tea or soup”), and 15 (“dry mouth”) of the KCL. These questions were chosen, as they address critical aspects of oral health that are closely associated with nutrition, swallowing ability, and salivary function. Declines in these functions are commonly observed in older adults, particularly those with RA, and have been shown to significantly impact physical health, nutritional status, and overall quality of life.[20] A score of ≥2 was defined as oral function decline.[11,21] The simplicity and practicality of these items make them highly suitable for use in both clinical and research settings, facilitating consistent and efficient data collection.

Missing data

The breakdown of missing data (final numbers and percentages in parentheses) is as follows: three for BMI (658/661, 99.5%), six for married (655/661, 99.1%), 242 for smoking (419/661, 63.4%), 247 for alcohol intake (414/661, 62.6%), five for RF (656/661, 99.2%), two for CRP (659/661, 99.7%), seven for MMP3 (654/661, 98.9%), and nine for grip strength (652/661, 98.6%).

Statistical analysis

Statistical analysis was performed using the EZR (Saitama Medical Center, Jichi Medical University, Saitama, Japan; http://www.jichi. ac.jp/saitama-sct/SaitamaHP.files/statmed. html), a graphical user interface for R software (R Foundation Statistical Computing, Vienna, Austria).[22] Continuous variables were expressed in mean and standard deviation (SD) or median (min-max), while categorical variables were expressed in number and frequency. The Kruskal-Wallis test or Mann-Whitney U test were used to analyze continuous variables. Categorical variables were analyzed using the Fisher exact test. Proportions of patients with each oral function score (total score from Questions 13 to 15 in the KCL) by age group, CDAI category, and frailty status were calculated and analyzed using the CochranArmitage trend test. Correlations between KCL categories were analyzed using the Spearman rank correlation coefficient. Receiver operating characteristic (ROC) curves were generated to assess the association between frailty and oral function scores. The most optimal cut-off point was identified as the maximum point of the Youden index, which was calculated using the following formula: Youden index = sensitivity + specificity – 1. Multivariate logistic regression analyses were performed to confirm the independent impact of variables on oral function decline. To further address potential confounding factors, propensity score matching was performed to balance variables, as informed by the results of multivariate logistic regression analyses. A p value of <0.05 was considered statistically significant.

Results

Table 1 presents the characteristics of participants according to their oral function score (i.e., total score from Questions 13 to 15 of the KCL). A total of 661 participants were included, of which 261 (39.5%) were classified as frail. The distribution of oral function scores was as follows: 0 points for 271 patients, 1 point for 204 patients, 2 points for 137 patients, and 3 points for 49 patients. Age, HAQ-DI, the KCL, and frailty rates tended to increase with higher scores. Among oral function questions (Questions 13-15), “Dry mouth” (Question 15) had the highest proportion in the group with an oral function score of 1 point, affecting 47.5% of the patients. In the group with a score of 2 points, “Dry mouth” was observed in 75.9% of the patients, while the proportions of “Difficulty in eating hard foods” (Question 13) and “Choking” (Question 14) were similar to each other at 61.3% and 62.8%, respectively.

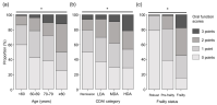
Figures 1a-c show proportions of patients with each oral function score by age group, CDAI category, and frailty status, respectively. The proportion of patients with oral function decline (oral function score ≥2 points) was significantly lower in patients aged <60 years compared to those aged ≥80 years (13.9% and 50.3%, respectively; p<0.001), in those in remission compared to those with HDA (20.6% and 46.4%, respectively; p<0.001), and in those who were robust in frailty status compared to those who were frail (1.6% and 54.8%, respectively; p<0.001), as assessed by the Cochran-Armitage trend test.

Table 2 presents correlation coefficients (r) between KCL categories. The strongest associations with oral function were observed for physical strength (r=0.437, p<0.001) and depressive mood (r=0.425). For total KCL score, the strongest correlations, in descending order, were with physical strength (r=0.797), depressive mood (r=0.764), and activities of daily living (r=0.662), with oral function (r=0.616) ranking fourth.

In the ROC curve analysis for frailty, the AUC was 0.790 (95% confidence interval [CI]: 0.756-0.824) for the oral function score (Figure 2). The optimal cut-off score for the oral function score corresponding to frailty was 2 points, with a specificity of 89.2% and a sensitivity of 54.8%, corresponding to the definition of oral function decline (i.e., total score of ≥2 for Questions 13 to 15 of the KCL).

Using the above cut-off score, multivariate logistic regression was conducted to identify factors associated with oral function decline. As shown in Table 3, oral function decline was significantly associated with age (odds ratio [OR]=1.06 [95% CI: 1.04-1.08]) and HAQ-DI (OR=1.06 [95% CI: 1.03-1.10] per 0.1-point increase) in both Model 1 (including DM and osteoporosis as factors) and Model 2 (including CCI as a composite factor). For “infrequent laughter,” Models 1 and 2 showed an OR of 1.67 [95% CI: 1.00-2.76] and 1.68 [95% CI: 1.02- 2.79], respectively, both indicating a significant association. To further confirm these findings, propensity score matching was performed to adjust for potential confounding factors, including disease duration, sex, BMI, CDAI, GC use, MTX use, and CCI (Table 4). The logistic regression model incorporating propensity score as a covariate demonstrated consistent results, with significant associations between oral function decline and age (OR=1.04 [95% CI: 1.02-1.06]) and HAQ-DI (OR=1.07 [95% CI: 1.03-1.10]), and a marginal association between oral function decline and infrequent laughter (OR=1.52 [95% CI: 0.85-2.73]).


Discussion

To the best of our knowledge, the present study is the first to investigate the association between frailty and oral function in RA patients. Our study showed a tendency for frailty to increase with declining oral function and that the proportion of patients with oral function decline significantly increased with frailty. A cut-off score of ≥2 for oral function was identified as having high specificity (89.2%) according to the ROC curve analysis, indicating that patients with this score are more likely to be frail, offering a straightforward and accessible tool to facilitate early detection of frailty in clinical settings. Oral function decline was significantly associated with HAQ-DI, a measure of physical function, as demonstrated in both the multivariate logistic regression analysis and the propensity score-adjusted model. This consistent result highlights the robust relationship between oral function decline and physical function. The findings of the present study collectively suggest the importance of monitoring oral function, since it not only reflects physical function, but also serves as a practical marker for identifying frailty in RA patients. Incorporating oral function assessments into routine RA management can help healthcare providers identify patients at higher risk of frailty and implement targeted interventions to mitigate this risk, potentially improving long-term patient outcomes.

The relationship between oral function and physical function remains unclear in terms of which influences the other. Oral frailty, defined as a decline in three or more of six oral measures (remaining teeth, chewing, tongue pressure, oral motor skills, eating difficulty, and swallowing), has been reported to be significantly associated with both physical frailty and mortality.[23] In older adults, a decline in oral function reportedly leads to reduced protein intake.[24] Typically, a decline in oral function would affect nutritional intake and the ability to eat properly, which can then lead to reduced muscle strength and a subsequent decline in overall physical function. However, impaired physical function can also affect oral function. The HAQ-DI, a physical function index, is a significant indicator of sarcopenia in RA patients.[25] Sarcopenia, characterized by a progressive loss of muscle mass and function, affects not only the body’s skeletal muscles but also masticatory and swallowing muscles, thereby impairing oral function.[20] It is likely that oral function and physical function are mutually related, making it difficult to clearly determine which influences the other. In any case, as both oral function and physical function inevitably decline with age,[20] it is crucial for older adults to maintain these functions through comprehensive monitoring and care.

Among KCL categories, “physical strength” (Questions 6-10) and “depressive mood” (Questions 21-25) were most strongly associated with “oral function” (Questions 13-15). “Physical strength” is assessed through questions regarding the ability to walk, climb stairs, and stand up from a chair, which are closely related to items assessed with the HAQ-DI. The assessment of “depressive mood” is based on factors such as the lack of fulfillment, reduced enjoyment, task difficulty, uselessness, and fatigue. These factors were particularly relevant during the COVID-19 pandemic, when there were restrictions on going out and engaging in social interactions. RA patients are more likely to experience depressive symptoms than the general population.[26] Moreover, participants living alone during the COVID-19 pandemic experienced more negative emotions than those living with relatives or spouses.[27] Negative emotions, such as depressive mood, further reduce social interactions, leading to fewer opportunities to use one’s voice. This may have also contributed to a decline in oral function.

A significant association was also found between oral function decline and infrequent laughter. The muscles used for laughing are reportedly the same as those involved in oral function, such as swallowing and chewing muscles.[28] In addition, laughter temporarily increases salivary immunoglobulin A (IgA) levels, suggesting that laughter may enhance certain aspects of immune function.[29] Laughter is also known to have positive effects on health[30] and has been shown to reduce stress hormones.[31] In a six-year follow-up cohort study, shared social interactions, through laughter, were associated more strongly with a reduced risk of functional disability than laughing alone (e.g., laughing while watching television).[32] Conversely, a lack of laughter has been associated with future functional decline and mortality.[33] These findings highlight the importance of maintaining oral function by creating social interactions through laughter to support both emotional well-being and physical health.

Frailty in RA patients is influenced by systemic inflammation, which may also affect oral function decline through molecular pathways. Chronic inflammation in RA has been associated with structural changes in salivary glands, such as fibrosis, which can impair salivary gland function, reduce mucin production, and lead to hyposalivation.[34] These changes may compromise the protective functions of saliva, increasing the susceptibility to infections and disrupting oral immune components including salivary IgA.[35] Salivary IgA plays a crucial role in mucosal immunity by preventing microbial adhesion and neutralizing pathogens, and alterations in its levels are associated with an increased risk of oral and systemic infections.[35] Salivary immune components have also been linked to autoimmune conditions such as primary Sjögren’s syndrome, in which interleukin (IL)-6, to illustrate, correlates with disease activity and mucosal immune responses.[36] However, specific involvement of these components in RA-related oral dysfunction remains to be fully elucidated. In addition to its direct effects on oral health, systemic inflammation in RA, driven by tumor necrosis factor-alpha (TNF-α) and other inflammatory cytokines with catabolic effects on skeletal muscle, contributes to muscle loss (sarcopenia)[37] which negatively impacts mastication and swallowing muscles. This cross-system interaction exacerbates difficulties in chewing and swallowing, further contributing to oral dysfunction. Moreover, oral dysfunction may perpetuate systemic inflammation through poor nutrition and increased susceptibility to infections, creating a vicious cycle that worsens health outcomes and promotes frailty. Future studies should explore the role of inflammatory biomarkers, such as IL-6 and TNF-α, to clarify the complex relationships between systemic inflammation, oral health, and frailty in RA patients. Understanding these molecular pathways will aid in the development of targeted therapeutic strategies to address both systemic and oral inflammation, ultimately reducing frailty and improving patient outcomes.

Building on these findings, targeted interventions could help mitigate oral function decline and its impact on frailty in RA patients. Regular oral function assessments could be seamlessly integrated into standard RA management workflows, providing valuable insights into both physical and frailtyrelated risks. Such integration would enable personalized care plans, including physical and oral rehabilitation programs, to address the multifaceted challenges faced by RA patients. Programs such as COPE-TeL, a comprehensive oral and physical exercise program including textured lunch gatherings, have demonstrated significant benefits in improving oral health and overall physical well-being among older adults with oral function decline.[38] Similarly, progressive lingual resistance exercises have been shown to enhance tongue strength and swallowing function, addressing key aspects of oral function decline.[39] Implementing such interventions in RA management could improve both physical and emotional well-being, reduce the risk of frailty, and enhance the quality of life for these patients.

Nonetheless, the present study has several limitations. First, there was no evaluation of oral function specifically related to oral frailty, such as swallowing function tests (e.g., water swallowing test, repetitive saliva swallowing test). Second, as this is a cross-sectional study, causal relationships between associated factors remain unclear. Third, while the study was conducted during the COVID-19 pandemic, i.e., a period influenced by lifestyle changes, data on participants’ infection status or its direct effects were not collected.

In conclusion, an oral function score of ≥2 points, based on Questions 13-15 of the KCL (i.e., difficulty eating hard foods, choking, and dry mouth), strongly indicates a higher likelihood of frailty in RA patients. Thus, this score may serve as a simple and accessible marker of frailty, enabling early detection in clinical practice. Moreover, oral function decline was closely associated with physical function, as measured by HAQ-DI, highlighting the interconnectedness of oral and physical health. These results underscore the importance of routine monitoring of oral function, which could be seamlessly integrated into clinical workflows to facilitate early identification of frailty and guide targeted interventions. Promoting oral health and physical resilience through comprehensive strategies, including interventions to foster laughter, to illustrate, may help mitigate the risk of frailty in RA patients. Further longitudinal studies are warranted to explore the relationship between physical and oral function in relation to frailty and to clarify causal relationships between these factors.

Citation: Sobue Y, Suzuki M, Ohashi Y, Sato R, Ohno Y, Hasegawa J, et al. Association between frailty and oral function in rheumatoid arthritis patients: A multi-center, observational study. Arch Rheumatol 2025;40(1):15-27. doi: 10.46497/ ArchRheumatol.2025.11039.

Author Contributions

Idea/concept, design, control/supervision, data collection and/or processing, analysis and/or interpretation, literature review, writing the article, and critical review: Y.S., M.S., Y.O.; Contributed to data collection and/or processing and critical review: R.S., Y.O., J.H., T.S., K.T., S.A.; Control/supervision, idea/concept, design, and critical review: S.I. All authors read and approved the final manuscript.

Conflict of Interest

The authors declared no conflicts of interest with respect to the authorship and/or publication of this article.

Financial Disclosure

The authors received no financial support for the research and/or authorship of this article.

Acknowledgments

We thank Dr. Koji Funahashi, Dr. Hiroshi Koshima, Dr. Nobuyuki Okui, Dr. Hisato Ishikawa, Ms. Sachiko Kato, Ms. Emi Yokota, Ms. Ritsuko Otake, and Ms. Takako Sashikata for their assistance in information collection.
The authors also thank ChatGPT for assistance with writing and spelling corrections. The responsibility for the content accuracy, data interpretation, and final approval of the manuscript rests solely with the authors.Additionally, the authors received English language editing services from ProEdit Japan, Inc.

Data Sharing Statement

The data that support the findings of this study are available from the corresponding author upon reasonable request.

References

  1. Fried LP, Tangen CM, Walston J, Newman AB, Hirsch C, Gottdiener J, et al. Frailty in older adults: Evidence for a phenotype. J Gerontol A Biol Sci Med Sci 2001;56:M146-56. doi: 10.1093/ gerona/56.3.m146.
  2. Clegg A, Young J, Iliffe S, Rikkert MO, Rockwood K. Frailty in elderly people. Lancet 2013;38:752-62. doi: 10.1016/S0140-6736(12)62167-9.
  3. Kontis V, Bennett JE, Mathers CD, Li G, Foreman K, Ezzati M. Future life expectancy in 35 industrialised countries: Projections with a Bayesian model ensemble. Lancet 2017;389:1323-35. doi: 10.1016/ S0140-6736(16)32381-9.
  4. Hewitt J, Carter B, Vilches-Moraga A, Quinn TJ, Braude P, Verduri A, et al. The effect of frailty on survival in patients with COVID-19 (COPE): A multicentre, European, observational cohort study. Lancet Public Health 2020;5:e444-51. doi: 10.1016/ S2468-2667(20)30146-8.
  5. Sobue Y, Suzuki M, Ohashi Y, Koshima H, Okui N, Funahashi K, et al. Locomotive syndrome in rheumatoid arthritis patients during the COVID-19 pandemic. Nagoya J Med Sci 2022;84:799-812. doi: 10.18999/nagjms.84.4.799.
  6. Sobue Y, Suzuki M, Ohashi Y, Koshima H, Okui N, Funahashi K, et al. Relationship between locomotive syndrome and frailty in rheumatoid arthritis patients by locomotive syndrome stage. Mod Rheumatol 2022;32:546-53. doi: 10.1093/mr/roab024.
  7. Tada M, Yamada Y, Mandai K, Hidaka N. Correlation between frailty and disease activity in patients with rheumatoid arthritis: Data from the CHIKARA study. Geriatr Gerontol Int 2019;19:1220-5. doi: 10.1111/ ggi.13795.
  8. Zhang Y, Lu N, Peloquin C, Dubreuil M, Neogi T, Aviña-Zubieta JA, et al. Improved survival in rheumatoid arthritis: A general population-based cohort study. Ann Rheum Dis 2017;76:408-13. doi: 10.1136/annrheumdis-2015-209058.
  9. Conforti A, Di Cola I, Pavlych V, Ruscitti P, Berardicurti O, Ursini F, et al. Beyond the joints, the extra-articular manifestations in rheumatoid arthritis. Autoimmun Rev 2021;20:102735. doi: 10.1016/j. autrev.2020.102735.
  10. González DA, Bianchi ML, Armada M, Escalante AC, Salgado PA, Seni S, et al. Hyposalivation and periodontal disease as oral non-articular characteristics in rheumatoid arthritis. Clin Rheumatol 2024;43:95- 102. doi: 10.1007/s10067-023-06718-1.
  11. Satake S, Senda K, Hong YJ, Miura H, Endo H, Sakurai T, et al. Validity of the Kihon Checklist for assessing frailty status. Geriatr Gerontol Int 2016;16:709-15. doi: 10.1111/ggi.12543.
  12. Felson DT, Smolen JS, Wells G, Zhang B, van Tuyl LH, Funovits J, et al. American College of Rheumatology/ European League against Rheumatism provisional definition of remission in rheumatoid arthritis for clinical trials. Ann Rheum Dis 2011;70:404-13. doi: 10.1136/ard.2011.149765.
  13. Aletaha D, Neogi T, Silman AJ, Funovits J, Felson DT, Bingham CO 3rd, et al. 2010 Rheumatoid arthritis classification criteria: An American College of Rheumatology/European League Against Rheumatism collaborative initiative. Arthritis Rheum 2010;62:2569-81. doi: 10.1002/art.27584.
  14. Steinbrocker O, Traeger CH, Batterman RC. Therapeutic criteria in rheumatoid arthritis. J Am Med Assoc 1949;140:659-62. doi: 10.1001/ jama.1949.02900430001001.
  15. Nakayama Y, Nagata W, Takeuchi Y, Fukui S, Fujita Y, Hosokawa Y, et al. Systematic review and metaanalysis for the 2024 update of the Japan College of Rheumatology clinical practice guidelines for the management of rheumatoid arthritis. Mod Rheumatol 2024;34:1079-94. doi: 10.1093/mr/roae049.
  16. Charlson ME, Pompei P, Ales KL, MacKenzie CR. A new method of classifying prognostic comorbidity in longitudinal studies: Development and validation. J Chronic Dis 1987;40:373-83. doi: 10.1016/0021- 9681(87)90171-8.
  17. Pincus T, Summey JA, Soraci SA Jr, Wallston KA, Hummon NP. Assessment of patient satisfaction in activities of daily living using a modified Stanford Health Assessment Questionnaire. Arthritis Rheum 1983;26:1346-53. doi: 10.1002/art.1780261107.
  18. Hayashi K, Kawachi I, Ohira T, Kondo K, Shirai K, Kondo N. Laughter is the best medicine? A crosssectional study of cardiovascular disease among older Japanese adults. J Epidemiol 2016;26:546-52. doi: 10.2188/jea.JE20150196.
  19. Suzuki M, Kojima T, Terabe K, Ohashi Y, Sato R, Kosugiyama H, et al. Association between laughter, frailty, and depression in rheumatoid arthritis patients. Int J Rheum Dis 2024;27:e15034. doi: 10.1111/1756- 185X.15034.
  20. Dibello V, Zupo R, Sardone R, Lozupone M, Castellana F, Dibello A, et al. Oral frailty and its determinants in older age: A systematic review. Lancet Healthy Longev 2021;2:e507-20. doi: 10.1016/S2666- 7568(21)00143-4.
  21. Tamada Y, Takeuchi K, Kusama T, Saito M, Ohira T, Shirai K, et al. Reduced number of teeth with and without dental prostheses and low frequency of laughter in older adults: Mediation by poor oral function. J Prosthodont Res 2024;68:441-8. doi: 10.2186/jpr.JPR_D_23_00071.
  22. Kanda Y. Investigation of the freely available easyto-use software ‘EZR’ for medical statistics. Bone Marrow Transplant 2013;48:452-8. doi: 10.1038/ bmt.2012.244.
  23. Tanaka T, Takahashi K, Hirano H, Kikutani T, Watanabe Y, Ohara Y, et al. Oral frailty as a risk factor for physical frailty and mortality in communitydwelling elderly. J Gerontol A Biol Sci Med Sci 2018;73:1661-7. doi: 10.1093/gerona/glx225.
  24. Iwasaki M, Yoshihara A, Ogawa H, Sato M, Muramatsu K, Watanabe R, et al. Longitudinal association of dentition status with dietary intake in Japanese adults aged 75 to 80 years. J Oral Rehabil 2016;43:737-44. doi: 10.1111/joor.12427.
  25. Sobue Y, Suzuki M, Ohashi Y, Sato R, Kosugiyama H, Ohno Y, et al. Association between sarcopenia and locomotive syndrome in rheumatoid arthritis patients: A multicenter observational study (T-FLAG). Int J Rheum Dis 2024;27:e15321. doi: 10.1111/1756- 185X.15321.
  26. Matcham F, Rayner L, Steer S, Hotopf M. The prevalence of depression in rheumatoid arthritis: A systematic review and meta-analysis. Rheumatology (Oxford) 2013;52:2136-48. doi: 10.1093/ rheumatology/ket169.
  27. Caillot-Ranjeva S, Bergua V, Meillon C, Amieva H. Impact of cohabitation during confinement on older adults' negative affect: What specificity of life as a couple? J Frailty Aging 2024;13:64-70. doi: 10.14283/jfa.2023.25.
  28. Belyk M, McGettigan C. Real-time magnetic resonance imaging reveals distinct vocal tract configurations during spontaneous and volitional laughter. Philos Trans R Soc Lond B Biol Sci 2022;377:20210511. doi: 10.1098/rstb.2021.0511.
  29. Bennett MP, Lengacher C. Humor and laughter may influence health IV. humor and immune function. Evid Based Complement Alternat Med 2009;6:159-64. doi: 10.1093/ecam/nem149.
  30. Hirosaki M, Ohira T, Kajiura M, Kiyama M, Kitamura A, Sato S, et al. Effects of a laughter and exercise program on physiological and psychological health among community-dwelling elderly in Japan: Randomized controlled trial. Geriatr Gerontol Int 2013;13:152-60. doi: 10.1111/j.1447-0594.2012.00877.x.
  31. Berk LS, Tan SA, Fry WF, Napier BJ, Lee JW, Hubbard RW, et al. Neuroendocrine and stress hormone changes during mirthful laughter. Am J Med Sci 1989;298:390-6. doi: 10.1097/00000441- 198912000-00006.
  32. Tamada Y, Yamaguchi C, Saito M, Ohira T, Shirai K, Kondo K, et al. Does laughing with others lower the risk of functional disability among older Japanese adults? The JAGES prospective cohort study. Prev Med 2022;155:106945. doi: 10.1016/j. ypmed.2021.106945.
  33. Tamada Y, Takeuchi K, Yamaguchi C, Saito M, Ohira T, Shirai K, et al. Does laughter predict onset of functional disability and mortality among older Japanese adults? The JAGES Prospective Cohort Study. J Epidemiol 2021;31:301-7. doi: 10.2188/jea. JE20200051.
  34. Katona K, Farkas N, Kneif M, SütŐ G, Berki T, Balatonyi B, et al. Image analysis of fibrosis in labial salivary glands of patients with systemic autoimmune diseases. Close correlation of lobular fibrosis to seropositive rheumatoid arthritis and increased anti-CCP and RF titres in the serum. Pathology 2018;50:418-25. doi: 10.1016/j.pathol.2017.12.339.
  35. Jankowski J, Nijakowski K. Salivary immunoglobulin a alterations in health and disease: A bibliometric analysis of diagnostic trends from 2009 to 2024. Antibodies (Basel) 2024;13:98. doi: 10.3390/ antib13040098.
  36. Hung YH, Lee YH, Chen PP, Lin YZ, Lin CH, Yen JH. Role of salivary immune parameters in patients with primary Sjögren's syndrome. Ann Lab Med 2019;39:76-80. doi: 10.3343/alm.2019.39.1.76.
  37. Schaap LA, Pluijm SM, Deeg DJ, Harris TB, Kritchevsky SB, Newman AB, et al. Higher inflammatory marker levels in older persons: Associations with 5-year change in muscle mass and muscle strength. J Gerontol A Biol Sci Med Sci 2009;64:1183-9. doi: 10.1093/gerona/glp097.
  38. Matsuo K, Kito N, Ogawa K, Izumi A, Kishima M, Itoda M, et al. Improvement of oral hypofunction by a comprehensive oral and physical exercise programme including textured lunch gatherings. J Oral Rehabil 2021;48:411-21. doi: 10.1111/joor.13122.
  39. Robbins J, Gangnon RE, Theis SM, Kays SA, Hewitt AL, Hind JA. The effects of lingual exercise on swallowing in older adults. J Am Geriatr Soc 2005;53:1483-9. doi: 10.1111/j.1532-5415.2005.53467.x.