Fatma Ozer1, Fatih Baygutalp1, Muhammet Celik2, Nurcan Kılıc Baygutalp3

1Department of Physical Medicine and Rehabilitation, Atatürk University Faculty of Medicine, Erzurum, Türkiye
2Department of Medical Biochemistry, Atatürk University Faculty of Medicine, Erzurum, Türkiye
3Department of Biochemistry, Atatürk University Faculty of Pharmacy, Erzurum, Türkiye

Keywords: Gout, interleukin-10, irisin, oxidative stress.

Abstract

Objectives: This study aims to investigate the role of adipokines, oxidative stress, and inflammatory markers in the pathogenesis of gout.

Patients and methods: Between September 2021 and December 2022, a total of 88 volunteers including 44 patients (37 males, 7 females; mean age: 56.5±11.6 years; range, 30 to 77 years) with gout disease and 44 age- and sex-matched healthy controls (37 males, 7 females; mean age: 54.3±12.1 years; range, 30 to 78 years) were retrospectively analyzed. Serum interleukin-10 (IL-10), tumor necrosis factor-alpha (TNF-α), irisin, resistin, total oxidant status (TOS), and total antioxidant status (TAS) levels were analyzed.

Results: The mean serum irisin levels were significantly higher in patients with gout than in the healthy controls (405.6±97.3 and 316.0±80.8 pg/mL, respectively). The mean IL-10 levels were significantly lower in patients with gout than in healthy controls (90.8±71.9 and 172.7±128.6 pg/mL, respectively). There was no statistically significant difference in the serum resistin, TNF-α, TOS, or TAS levels between the groups (p>0.05).

Conclusion: Our study results show that serum irisin and IL-10 seem to be candidate biomarkers of diagnosis of gout.

Introduction

Gout is a disease characterized by the deposition of monosodium urate (MSU) crystals, which is directly related to hyperuricemia caused by impaired purine metabolism or decreased uric acid excretion.[1] The disease pathogenesis involves complex interactions between genetic, metabolic, and inflammatory factors. There is a significant link between serum urate concentration and gout.[2] Other factors involved in the pathogenesis of gout are obesity, alcohol consumption, some drugs, comorbid diseases, genetic mutations, and excessive consumption of purine-rich foods.[3]

Although MSU crystal deposition is a prerequisite for gout development, not all individuals with hyperuricemia develop gout, suggesting the involvement of other pathogenic mechanisms. The mechanism of inflammation in gout has not been fully clarified, and various inflammatory and anti-inflammatory factors, such as tumor necrosis factor-alpha (TNF-α) and interleukin-10 (IL-10), have been shown to be effective.[2] The IL-10 is an antiinflammatory cytokine produced in response to proinflammatory signals.[4] Owing to its antiinflammatory effects, IL-10 is involved in sterile wound healing, autoimmunity, and homeostasis while preventing the host from overreacting to pathogens.[4,5]

Tumor necrosis factor-alpha is a multifunctional cytokine which promotes the synthesis and release of inflammatory molecules. It contributes to the inflammation caused by MSU crystals and is associated with the severity of crystal-induced arthritis. In some cases, the use of anti-tumor necrosis factors (anti-TNFs) in the treatment of gouty arthritis has been found to be beneficial.[2,6]

Gout is often accompanied by other comorbidities. One of the marker groups investigated to evaluate the metabolic effect between these comorbidities and gout are adipokines.[7] Adipokines are polypeptides secreted from adipocytes which mediate immune and metabolic responses. They are involved in pathological conditions such as inflammation, insulin resistance, obesity, and metabolic syndrome (MetS).[8] Among these, irisin and resistin have gained attention for their potential roles in inflammatory and metabolic diseases in recent years. Irisin is primarily known for its role in energy metabolism and has been associated with anti-inflammatory effects in various conditions.[9,10] It reduces body weight and insulin resistance by powerfully stimulating energy expenditure.[11] It is present at lower concentrations in patients with type 2 diabetes mellitus (DM) than in those without DM.[12,13] However, studies on the role of irisin in gout remain scarce.

Resistin, conversely, is a proinflammatory adipokine which has been linked to insulin resistance, chronic inflammation, and the formation of reactive oxygen species (ROS). It antagonizes the effects of insulin by participating in the regulation of glucose metabolism. It causes insulin resistance and leads to the development of type 2 DM and MetS. A strong association was observed between rheumatoid arthritis (RA) and resistin levels, but no association was found between systemic lupus erythematosus (SLE) and resistin levels.[14] In a study conducted in patients with gout in the intercritical period, blood levels of leptin and adiponectin were found to be higher to those in the control group.[7]

Oxidative effects cause general dysfunction in biological order and immunity. This is defined as oxidative stress.[15-17] Oxidative stress is associated with chronic inflammation and many metabolic diseases. A diet rich in fat or carbohydrates and obesity increase oxidative stress. Exercise acts as an antagonist against oxidative stress and improves metabolic and inflammatory responses.[16] Total oxidant status (TOS) and total antioxidant status (TAS) serve as key markers of oxidative balance.[16]

In the present study, we aimed to evaluate the serum levels of the proinflammatory and anti-inflammatory markers, TNF-α and IL-10, the metabolic markers, irisin and resistin, and oxidative stress markers, TOS and TAS to enhance our understanding of gout pathophysiology and identify potential diagnostic or therapeutic targets.

Patients and Methods

Study design and study population

This single-center, cross-sectional, case-control study was conducted at Atatürk University, Faculty of Medicine, Department of Physical Medicine and Rehabilitation between September 2021 and December 2022. A total of 88 volunteers who met the inclusion criteria were included. Of them, 44 (37 males, 7 females; mean age: 56.5±11.6 years; range, 30 to 77 years) were the study group including gout patients and 44 (37 males, 7 females; mean age: 54.3±12.1 years; range, 30 to 78 years) were the control group including age- and sex-matched healthy volunteers. Inclusion criteria for the patients were having a diagnosis of gout according to the 2015 American College of Rheumatology (ACR) criteria, age between 18 and 80 years, and volunteering to participate in the study. Exclusion criteria were as follows: the presence of other inflammatory or rheumatic diseases; the presence of renal, hepatic, gastrointestinal, or oncologic diseases; the use of antioxidants, vitamin supplements, or medications which affect lipoprotein metabolism; the presence of acute infection; or having a history of acute trauma which may cause stress reactions. A written informed consent was obtained from each participant. The study protocol was approved by the Atatürk University Faculty of Medicine, Clinical Research Ethics Committee (date: 24.06.2021, no: 289). The study was conducted in accordance with the principles of the Declaration of Helsinki.

Age, sex, duration of diagnosis, body mass index (BMI), number of attacks in the previous year, joint of the first attack, diagnostic method, presence of tophi, family history of gout, comorbidities, smoking status, alcohol use, dietary patterns and other blood parameters were collected from the patients’ files.

Blood sampling

Following a 12-h overnight fast, 10 mL of venous blood samples were collected from the patient and control groups at 09:00 A.M. For complete blood count analysis, 5 mL of blood samples were placed in an ethylenediaminetetraacetic acid (EDTA) tube and, for other biochemical data, 5 mL of blood samples were placed in a biochemistry tube. To obtain serum, the tubes were centrifuged for 10 min at 1,500 to 2,000 rpm for 30 min. The supernatant was removed and the serum was obtained. The serum obtained was aliquoted and divided into two parts. Routine biochemical analyses were performed on the first part of the serum samples. The second part of the serum samples was stored at –80°C until the day of analysis using enzyme-linked immunosorbent assay (ELISA). When all samples were collected, the samples were gradually thawed (–20°C, +4°C, and +25°C) and analyzed for parameters to be studied by ELISA (irisin, resistin, TNF-α, and IL-10) and parameters to be studied by calorimetry (TAS and TOS).

Biochemical analyses

Serum high-density lipoprotein cholesterol (HDL-C), low-density lipoprotein cholesterol (LDL-C), triglyceride, aspartate aminotransferase (AST), alanine aminotransferase (ALT), gamma glutamyl transferase (GGT), urea, creatinine, uric acid, albumin, calcium (Ca) and magnesium (Mg) levels were measured by spectrophotometric methods on a Roche Cobas 702 (Roche Laboratories, Basel, Switzerland) biochemistry autoanalyzer.

Serum glucose levels were measured by an enzymatic method (glucokinase) (hexokinase) on a Roche Cobas 702 autoanalyzer. Serum erythrocyte sedimentation rate (ESR) levels were measured using the Westergren method on a Starrsed Interrliner autoanalyzer (RR Mechatronics, Masters of Measurement, Zwaag, Netherlands). Plasma hemoglobin A1c (HbA1c) levels were measured by high-performance liquid chromatography (HPLC). Serum C-reactive protein (CRP) levels were measured by the immunoturbidimetric method on a Roche Cobas 702 biochemistry autoanalyzer.

Serum IL-10, TNF-α, irisin, and resistin levels were determined by ELISA using human ELISA kits according to the manufacturer's instructions (Bostonchem Inc., Boston, MA, USA). The catalog numbers/lot numbers of IL-10, TNF-α, irisin and resistin were BLS-1142 Hu/BUS0411W1, BLS-1190 Hu/BUS0411W1, BLS-6625/BUS0411W1, and BLS-1225/BUS0411W1, respectively.

The serum TOS level was measured spectrophotometrically at 590 nm by the colorimetric method using a TOS colorimetric assay kit (Cat. No: E-BC-K802-M, Lot No: CV09608Z5778) (Elabscience Biotechnology Inc., TX, USA). According to this method, oxidants in the sample oxidize Fe+2 to Fe+3. Fe+3 forms a colored complex with xylenol orange in acidic media, and the intensity of this color is proportional to the total oxidant level of the sample. In this method, H2O2 is used as a reference substance for TOS. The results are expressed in µmoL H2O2 equiv./L.

Serum TAS levels were measured spectrophotometrically at 660 nm by a colorimetric method using a TAS colorimetric assay kit (Cat. No: E-BC-K801-M, Lot No: CV100X867342; Elabscience Biotechnology Inc., TX, USA). According to this method, the green ABTS radical is converted to the colorless reduced ABTS radical by the antioxidants in the sample. The change in absorbance at 660 nm is proportional to the total antioxidant level of the sample. In this method, Trolox is used as a reference substance for TAS. Trolox is an analog of vitamin E. The results are expressed in mmoL Trolox equiv./L.

Statistical analyses

Study power analysis and sample size calculation were performed using the G*Power version 3.1.9.4 software (Heinrich-Heine-Universität Düsseldorf, Düsseldorf, Germany). Since there was no available study similar to our study at the time of study planning, sample size was calculated using the program with the following inputs: type 1 error (α): 0.05, type 2 error (1-β): 0.95, independent samples t-test, two-tailed, effect size (Cohen’s f): 0.8 (large).18 Accordingly, the minimum sample size was calculated as 42 for each group. However, considering that some blood samples may undergo hemolysis, the number of patients in each group was increased by 5% and it was planned to start the study by forming each group with 44 individuals.

Statistical analysis was performed using the IBM SPSS version 25.0 software (IBM Corp., Armonk, NY, USA). Descriptive data were expressed in mean ± standard deviation (SD), median (min-max) or number and frequency, where applicable. The normality of the data was checked using the Kolmogorov-Smirnov test. Group differences were determined using the GraphPad Prism version 10.0 software (GraphPad Software, San Diego, CA, USA). The data showing a normal distribution were analyzed with an independent samples t-test. The data showing non-normal distributions were analyzed using the Mann-Whitney U test. Diagnostic values of serum IL-10 and irisin levels determining gout were analyzed using the receiver operating characteristic (ROC) analysis and ROC comparison analysis in the MedCalc program. A p value of <0.05 was considered statistically significant at 95% confidence interval (CI).

Results

The clinical characteristics of the patients are given in Table 1. Demographic characteristics, biochemical data and comparisons of the patient and control groups are given in Table 2.


Both groups are similar in terms of age and sex (p>0.05). The mean BMI values of the patients in the study and control groups were 29.27±3.25 kg/m2 and 25.47±1.81 kg/m2, respectively, indicating a significant difference between the groups (p<0.01).

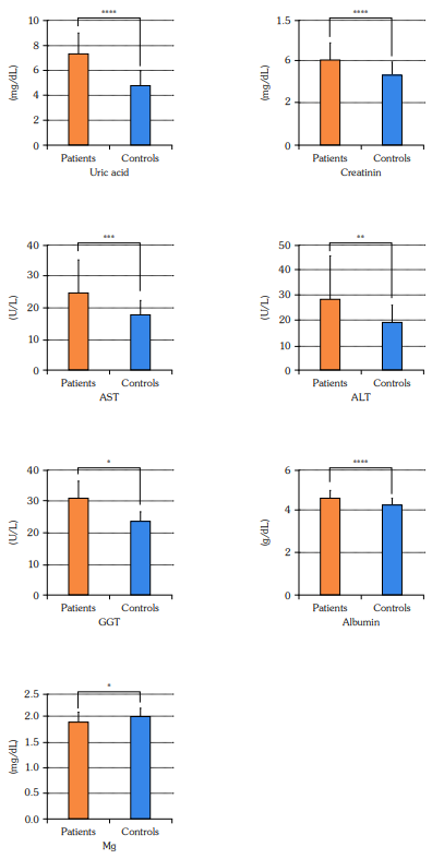
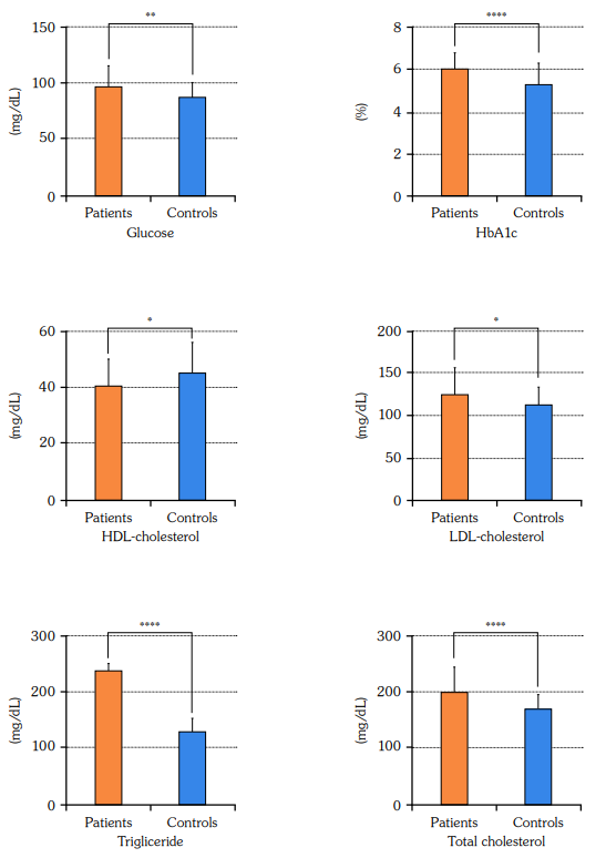
Considering the distribution of biochemical data between the groups, the serum glucose, HbA1c, uric acid, HDL-C, LDL-C, triglyceride, total cholesterol, creatinine, AST, ALT, GGT, CRP, ESR, albumin, and Mg levels were significantly different between the groups (p<0.05 for all) (Table 2).

The mean serum glucose and HbA1c levels were higher in patients than in controls (p<0.01) (Table 2 and Figure 1). The lipid profiles of the patients were unfavorable compared to those of the controls, as confirmed by high LDL-C, triglyceride and total cholesterol levels and low HDL-C levels (Table 2 and Figure 1).

The mean serum uric acid levels in the patient and control groups were 7.34±1.65 mg/dL and 4.79±1.18 mg/dL, respectively, indicating a significant difference between the groups (p<0.01) (Table 2 and Figure 2).

Serum CRP and ESR levels were significantly greater in patients than in healthy controls (Table 2 and Figure 3).

The serum IL-10 levels of the patients were significantly lower than those of the controls. The serum irisin levels were significantly higher in the patient group than in the control group (Table 2 and Figure 4).

The results of the ROC analysis showing the effects of serum IL-10 and irisin levels in diagnosing gout and distinguishing patients and healthy individuals are shown in Figure 5. The cut-off value was ≤83.1 pg/mL for IL-10 and >364.6 pg/mL for irisin. However, ROC curve analysis revealed that the two parameters were not superior to each other in distinguishing between patients and healthy individuals (inter-regional difference for IL-10 and irisin comparison: 0.0661, p=0.414).

Discussion

The present study provides new insights into the inflammatory and metabolic aspects of gout. The significantly lower IL-10 levels observed in gout patients suggest a compromised anti-inflammatory response. The IL-10 is known to counteract proinflammatory cytokines, and its deficiency in intercritical gout may contribute to persistent low-grade inflammation. Previous studies have reported conflicting findings regarding IL-10 levels in gout, possibly due to differences in disease stages and medication use. The serum IL-10 concentration was higher in the intercritical gout group than in the acute gout and healthy groups in the study by Zeng et al.[19] In the study by Kienhorst et al.,[20] the serum IL-10 concentration was found to be low in patients with intercritical gout. In our literature review, we observed that IL-10 levels in patients with gout have not been investigated sufficiently, and the existing studies have yielded conflicting results. A similar contradiction was observed in studies on other inflammatory diseases. Since IL-10 has self-limiting effects on diseases through its anti-inflammatory effect, its level is expected to be high during the acute period. The low level of IL-10 in our study suggested that the gout patients included in the study were in the intercritical period or were affected by the anti-inflammatory effect of colchicine. This finding suggests that subclinical inflammation is not observed in the intercritical period of gout.

To the best of our knowledge, there is only one study available in the literature investigating irisin levels in patients with gout. Studies have suggested that irisin levels are higher in RA patients, indicating its potential to reduce inflammation. Rafaat et al.[21] showed that irisin administration reduced inflammation and oxidative stress in RA models, while Ercan et al.[22] also found increased irisin levels in RA patients. Pardo et al.[23] linked irisin levels to body fat index, connecting it to obesity-related metabolic changes. Overall, these findings suggest that irisin may play a key role in both inflammatory and metabolic conditions. In the literature, there is only one study similar to our study. Dakhil et al.[24] reported that gout patients exhibited significantly lower irisin levels compared to the control group.

The unexpected elevation of irisin in gout patients raises intriguing questions about its potential role in gout pathophysiology. While irisin is commonly associated with metabolic regulation and anti-inflammatory properties, its relationship with gout remains unclear. One hypothesis is that increased irisin levels may represent a compensatory response to chronic inflammation and metabolic dysregulation. Alternatively, higher irisin levels may be linked to obesity, as previous studies have reported a positive correlation between body fat and circulating irisin levels.

In our study, TNF-α levels were not significantly different between the patients and healthy controls. This finding aligns with previous studies suggesting that TNF-α levels increase during acute gout attacks, but remain comparable to controls in intercritical gout. Given the role of TNF-α in inflammation, further studies are needed to determine its temporal variations in gout. Of note, TNF-α concentration has been reported to be increased in the joint after intra-articular injection of MSU,[6] greater than healthy controls,[25] greater in the acute gout group than in intercritical gout patients and healthy volunteers,[19] lower in patients in gout patients in intercritical stage,[20] and similar between the healthy group and intercritical gout patients.[7] The fact that TNF-α levels in patients with intercritical gout were similar to those in healthy individuals in the existing studies suggests that this may be related to the absence of an active inflammatory process or the use of anti-inflammatory drugs by the patients. About 90% of the patients included in the study used regular colchicine treatment, while 10% used colchicine intermittently. While evaluating our results, it was taken into consideration that our patients were in the intercritical period or were using colchicine.

Resistin, a proinflammatory adipokine, did not show significant differences between groups. This may be due to antihyperuricemic therapy mitigating resistin-associated inflammation. The role of resistin in gout remains controversial, with some studies reporting increased levels and others finding no association.[7,14] The literature and our present results suggest that antihyperuricemic treatment decreases resistin levels.

The fact that uric acid has antioxidant properties outside the cell but prooxidant properties inside the cell raises curiosity about how gout affects oxidative markers.[26] Oxidative stress is implicated in many inflammatory diseases, but our findings did not reveal significant differences in TOS and TAS levels between gout patients and controls. This may suggest that oxidative stress markers are regulated during intercritical gout, potentially due to long-term urate-lowering therapy. Previous studies have reported increased oxidative stress in acute gout, indicating that oxidative balance may vary with disease activity.

In a study conducted by Richette et al.,[27] it was demonstrated that long term pharmacologic inhibition of xanthine oxidase in gout patients decreased the production of free radicals that occur during uric acid formation. In a study by Saito et al.,[26] xanthine oxidase inhibition was shown to be beneficial in some disease and inflammatory processes, such as blood pressure, endothelial function, and proteinuria, in a specific population. In our study, 75% of the patients were found to be on allopurinol. Currently, allopurinol treatment is thought to regulate oxidative stress.[28]

In the current study, we observed significant differences in the serum uric acid, HDL-C, LDL-C, triglyceride, total cholesterol, creatinine, AST, ALT, GGT, CRP, ESR, albumin, HbA1c, and Mg levels. Serum Mg and HDL-C levels were lower in gout patients, whereas the levels of other biochemical parameters were higher in the healthy group. According to these results, patients with gout are likely to develop hyperlipidemia, DM, liver and kidney dysfunctions, and related morbidities and should be followed closely for these diseases.

The main limitations to the present study include the inability to compare the groups with acute gout patients, since acute gout patients could not be recruited in the study. Acute gout patients mostly apply to the emergency department, patients in intercritical phase to our clinic. In addition, the inability to eliminate the confounding effect of medication use since an adequate number of non-medicated intercritical gout patients could not be recruited. Also, we were unable to compare the analysis of patients with and without obesity. There was a significant difference between the baseline BMI characteristics of the groups, but this is not a limitation, as gout patients are usually composed of patients with high BMI values, and control patients have normal BMI values, as in our case.

Moreover, the fact that the gout patients in our study were in the intercritical period and had low levels of IL-10 suggested that subclinical inflammation was not observed in the intercritical period of gout and that the colchicine used by the patients had an effect on IL-10, leading to a decrease in serum levels. This raises the hope that IL-10 may provide a reference for the diagnosis, treatment, and pathogenesis of gout or improve diagnostic and therapeutic options.

In conclusion, our study results show that serum irisin and IL-10 seem to be candidate biomarkers of diagnosis of gout. However, since the relationship between disease severity and markers has not been investigated, markers are only considered candidates for diagnosis. Further studies are warranted to elucidate the mechanisms of antihyperuricemic agents and to provide guidance for novel therapeutic targets to prevent the development of diseases.

Citation: Ozer F, Baygutalp F, Celik M, Kılıc Baygutal N. Evaluation of adipokines, oxidative stress, and inflammatory markers in gout patients. Arch Rheumatol 2025;40(1):112-122. doi: 10.46497/ ArchRheumatol.2025.11001.

Author Contributions

Idea/concept, design, references and fundings, writing the article: F.Ö., F.B.; Control/supervision: F.B.; Data collection and/or processing: F.Ö., F.B, M.Ç.; Analysis and/or interpretation: M.Ç., N.K.B.; Critical review: F.B., N.K.B.

Conflict of Interest

The authors declared no conflicts of interest with respect to the authorship and/or publication of this article.

Financial Disclosure

This research was supported by the Atatürk University Scientific Research Projects Coordination Unit with project number TTU-2021-9631.

Data Sharing Statement

The data that support the findings of this study are available from the corresponding author upon reasonable request.

References

  1. Chhana A, Lee G, Dalbeth N. Factors influencing the crystallization of monosodium urate: a systematic literature review. BMC Musculoskelet Disord 2015;16:296. doi: 10.1186/s12891-015-0762-4.
  2. Wu M, Tian Y, Wang Q, Guo C. Gout: A disease involved with complicated immunoinflammatory responses: A narrative review. Clin Rheumatol 2020;39:2849-59. doi: 10.1007/s10067-020-05090-8.
  3. Hainer BL, Matheson E, Wilkes RT. Diagnosis, treatment, and prevention of gout. Am Fam Physician 2014;90:831-6.
  4. Rutz S, Ouyang W. Regulation of interleukin-10 expression. Adv Exp Med Biol 2016;941:89-116. doi: 10.1007/978-94-024-0921-5_5.
  5. Wei H, Li B, Sun A, Guo F. Interleukin-10 family cytokines immunobiology and structure. Adv Exp Med Biol 2019;1172:79-96. doi: 10.1007/978-981- 13-9367-9_4.
  6. Amaral FA, Bastos LF, Oliveira TH, Dias AC, Oliveira VL, Tavares LD, et al. Transmembrane TNF-a is sufficient for articular inflammation and hypernociception in a mouse model of gout. Eur J Immunol 2016;46:204-11. doi: 10.1002/ eji.201545798.
  7. Diaz-Torne C, Ortiz MA, Garcia-Guillen A, JeriaNavarro S, Sainz L, Fernandez-Sanchez S, et al. The inflammatory role of silent urate crystal deposition in intercritical gout. Rheumatology (Oxford) 2021;60:5463-72. doi: 10.1093/rheumatology/ keab335.
  8. Kirichenko TV, Markina YV, Bogatyreva AI, Tolstik TV, Varaeva YR, Starodubova AV. The role of adipokines in inflammatory mechanisms of obesity. Int J Mol Sci 2022;23:14982. doi: 10.3390/ijms232314982.
  9. Boström P, Wu J, Jedrychowski MP, Korde A, Ye L, Lo JC, et al. A PGC1-a-dependent myokine that drives brown-fat-like development of white fat and thermogenesis. Nature 2012;481:463-8. doi: 10.1038/nature10777.
  10. Aydin S, Kuloglu T, Aydin S, Kalayci M, Yilmaz M, Cakmak T, et al. A comprehensive immunohistochemical examination of the distribution of the fat-burning protein irisin in biological tissues. Peptides 2014;61:130-6. doi: 10.1016/j. peptides.2014.09.014.
  11. Colaianni G, Sanesi L, Storlino G, Brunetti G, Colucci S, Grano M. Irisin and bone: From preclinical studies to the evaluation of its circulating levels in different populations of human subjects. Cells 2019;8:451. doi: 10.3390/cells8050451.
  12. Martinez Munoz IY, Camarillo Romero EDS, Garduno Garcia JJ. Irisin a novel metabolic biomarker: Present knowledge and future directions. Int J Endocrinol 2018;2018:7816806. doi: 10.1155/2018/7816806.
  13. Anastasilakis AD, Polyzos SA, Saridakis ZG, Kynigopoulos G, Skouvaklidou EC, Molyvas D, et al. Circulating irisin in healthy, young individuals: Day-night rhythm, effects of food intake and exercise, and associations with gender, physical activity, diet, and body composition. J Clin Endocrinol Metab 2014;99:3247-55. doi: 10.1210/jc.2014-1367.
  14. Huang Q, Tao SS, Zhang YJ, Zhang C, Li LJ, Zhao W, et al. Serum resistin levels in patients with rheumatoid arthritis and systemic lupus erythematosus: A metaanalysis. Clin Rheumatol 2015;34:1713-20. doi: 10.1007/s10067-015-2955-5.
  15. Erel O. A novel automated method to measure total antioxidant response against potent free radical reactions. Clin Biochem 2004;37:112-9. doi: 10.1016/j.clinbiochem.2003.10.014.
  16. Newsholme P, Cruzat VF, Keane KN, Carlessi R, de Bittencourt PI Jr. Molecular mechanisms of ROS production and oxidative stress in diabetes. Biochem J 2016;473:4527-50. doi: 10.1042/BCJ20160503C.
  17. Özcan O, Erdal H, Çakırca G, Yönden Z. Oxidative stress and its impacts on intracellular lipids, proteins and DNA. J Clin Exp Invest. 2015;6:331-6. doi: 10.5799/ahinjs.01.2015.03.0545.
  18. Cohen J. Statistical power analysis for the behavioral sciences. London: Routledge; 2013.
  19. Zeng M, Dang W, Chen B, Qing Y, Xie W, Zhao M, et al. IL-37 inhibits the production of pro-inflammatory cytokines in MSU crystal-induced inflammatory response. Clin Rheumatol 2016;35:2251-8. doi: 10.1007/s10067-015-3109-5.
  20. Kienhorst LB, van Lochem E, Kievit W, Dalbeth N, Merriman ME, Phipps-Green A, et al. Gout is a chronic inflammatory disease in which high levels of interleukin-8 (CXCL8), myeloid-related protein 8/ myeloid-related protein 14 complex, and an altered proteome are associated with diabetes mellitus and cardiovascular disease. Arthritis Rheumatol 2015;67:3303-13. doi: 10.1002/art.39318.
  21. Raafat Ibrahim R, Shafik NM, El-Esawy RO, El-Sakaa MH, Arakeeb HM, El-Sharaby RM, et al. The emerging role of irisin in experimentally induced arthritis: A recent update involving HMGB1/MCP1/Chitotriosidase I-mediated necroptosis. Redox Rep 2022;27:21-31. doi: 10.1080/13510002.2022.2031516.
  22. Ercan Z, Deniz G, Yentur SB, Arikan FB, Karatas A, Alkan G, et al. Effects of acute aerobic exercise on cytokines, klotho, irisin, and vascular endothelial growth factor responses in rheumatoid arthritis patients. Ir J Med Sci 2023;192:491-7. doi: 10.1007/ s11845-022-02970-7.
  23. Pardo M, Crujeiras AB, Amil M, Aguera Z, JiménezMurcia S, Baños R, et al. Association of irisin with fat mass, resting energy expenditure, and daily activity in conditions of extreme body mass index. Int J Endocrinol 2014;2014:857270. doi: 10.1155/2014/857270.
  24. Dakhil KA, Aziz MA, Majid WJ. Combination of Irisin, Uric Acid, and Pro-Inflammatory Cytokine To Distinguish Gout Patients From Healthy Controls in The Governorate of Thi-Qar. Academia Open 2023;8:6-15. doi: 10.21070/acopen.8.2023.7844.
  25. Jiang X, Li M, Yang Q, Du L, Du J, Zhou J. Oxidized low density lipoprotein and inflammation in gout patients. Cell Biochem Biophys 2014;69:65-9. doi: 10.1007/s12013-013-9767-5.
  26. Saito Y, Tanaka A, Node K, Kobayashi Y. Uric acid and cardiovascular disease: A clinical review. J Cardiol 2021;78:51-7. doi: 10.1016/j.jjcc.2020.12.013.
  27. Richette P, Perez-Ruiz F, Doherty M, Jansen TL, Nuki G, Pascual E, et al. Improving cardiovascular and renal outcomes in gout: What should we target? Nat Rev Rheumatol 2014;10:654-61. doi: 10.1038/ nrrheum.2014.124.
  28. Pacher P, Nivorozhkin A, Szabó C. Therapeutic effects of xanthine oxidase inhibitors: Renaissance half a century after the discovery of allopurinol. Pharmacol Rev 2006;58:87-114. doi: 10.1124/pr.58.1.6.